Κάθε ημέρα δημοσιεύουμε θέματα ΜΑΘΗΜΑΤΙΚΩΝ, με την εγκυρότητα του Καθηγητή Μαθηματικών ΚΩΣΤΑ ΤΡΙΑΝΤΑΚΩΝΣΤΑΝΤΗ:
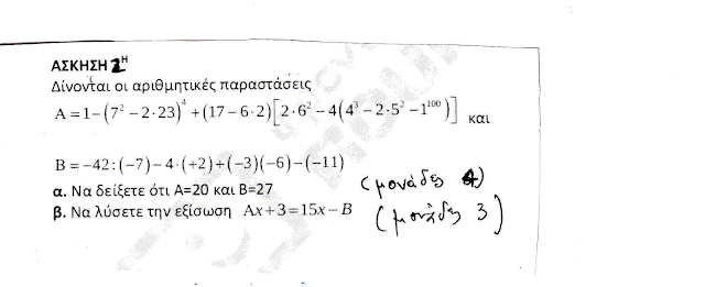
ΘΕΜΑΤΑ Β' ΓΥΜΝΑΣΙΟΥ:
...............................................
-Tην Πέμπτη 02-04-2020 θα δημοσιεύσουμε θέματα για την Α΄ Γυμνασίου.
ΜΕΝΟΥΜΕ ΣΠΙΤΙ...
ΚΑΛΟ ΔΙΑΒΑΣΜΑ...
ΚΑΛΗ ΕΠΙΤΥΧΙΑ...




Δεν υπάρχουν σχόλια:
Δημοσίευση σχολίου
Τι λες γι αυτό αγαπητό Ξηρόμερο